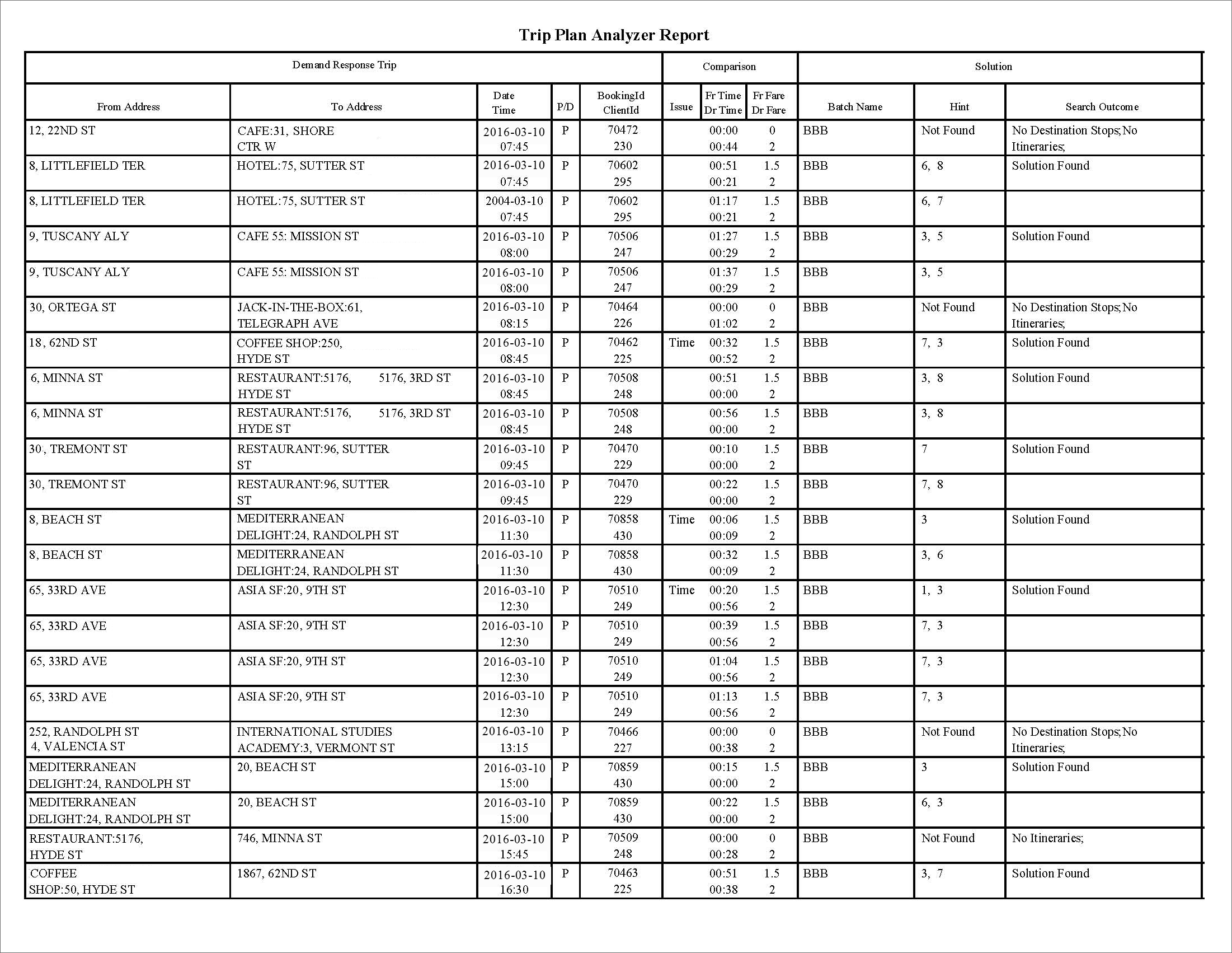
Trip Plan Analysis Report
The Trip Plan Analysis report indicates whether paratransit trip requests could be made using fixed route transit services, and compares fares and travel time for the two modes.
Data is obtained from individual booking and batch analyses.
Note: This report is designed
for PASS-IPA users.
| Parameter | Description |
|---|---|
| From Date | First date of records in the report. |
| To Date | Last date of records in the report. Exception days are excluded. |
| Client Name | To restrict the report to a single client, specify a client for the report. You can search by client ID number, client last name, or for client last and first name combinations. For example, use /121 to search for the client whose ID number is 121, Smith to search for a client whose last name is Smith, or Sm.J to search for a client named John Smith. |
| Show All | All records are included. |
| Show Issues |
If selected, the report only shows records for one of the following:
|
